Thrust vectoring
Thrust vectoring, known as well as thrust vector control, is the ability of an aircraft, rocket, or other vehicle to control the direction of the thrust from its engine to control the attitude or angular velocity of the vehicle. Thrust vectoring is often referred to as gas-dynamic steering or gas-dynamic control.
When rockets and ballistic missiles fly in thinner atmosphere, aerodynamic control surfaces are less effective, so thrust vectoring is the primary goal of attitude control.
For aircraft, the method originally developed to provide upward vertical thrust to give aircraft vertical (VTOL) or short (STOL) takeoff and landing ability. Later it was realized that using vectored thrust in combat situations is useful for the aircraft performance and maneuverability. Aircraft that use no thrust vectoring must rely only on aerodynamic control surfaces, such as ailerons or elevator. Aircraft with vectoring must still use control surfaces, but it is not limited so much by them.
A vertical take-off and landing (VTOL) aircraft is one that can hover, take off, and land vertically. A short takeoff and landing (STOL) aircraft has short runway requirements for takeoff and landing.
In case of Rockets:
The line of action or line of application of the thrust vector of a rocket nozzle passes through the vehicle's center of mass, generating zero net moment about the mass center. It is possible to generate pitch and yaw moments by deflecting the main rocket thrust vector so that it does not pass through the mass center. Because the line of action is generally oriented nearly parallel to the roll axis, roll control usually requires the use of two or more separately hinged nozzles or a separate system altogether, such as fins, or vanes in the exhaust plume of the rocket engine, deflecting the main thrust. Thrust vector control is only possible when the propulsion system is creating thrust; separate mechanisms are required for attitude and flight path control during other stages of flight.
| Figure 1: Light aircraft elevator and trim |
In early times, in order to maneuver the rocket during the flight, rockets needed to use aerodynamic surfaces, such as elevators on an aircraft. And to be clear, that works only in atmosphere. Later rockets which were designed to exit the Earth's atmosphere used small vanes in the nozzle exhaust to vector the thrust. Most modern rockets use a system called gimbaled thrust.
| Figure 2: Thrust vectoring control in Rockets, credit NASA |
Thrust vectoring can be achieved 4 ways:
1. Gimbaled engine or nozzle: Gimbaled thrust is the system of thrust vectoring used in most of the rockets, including the past Space Shuttle, the Saturn V lunar rockets, and the current Falcon 9. In a gimbaled thrust system, the engine or just the exhaust nozzle of the rocket can be rotated on two axes (pitch and yaw) from side to side, for explanation of rotation moves see Figure 3. As the nozzle is moved, the direction of the thrust is changed relative to the center of gravity of the rocket.
![]() |
| Figure 3: Aircraft rotations, credit NASA |
On the Figure 2 you can see three cases. The middle rocket shows the basic flight configuration in which the direction of thrust is along the center line of the rocket and through the center of gravity of the rocket.
2. Exhaust vanes: One of the earliest methods of thrust vectoring in rocket engines was to place vanes in the engine's exhaust stream. These exhaust vanes allowed the thrust to be deflected without moving any parts of the engine. They were able to roll control with only a single engine, which nozzle gimbaling does not allow. The German V-2 rocket used graphite exhaust vanes and aerodynamic vanes, as did the Redstone, which was derived from the V-2, see Figure 4.
![]() |
| Figure 4: V-2 |
3. Reactive fluid injection or propellant injection: Another method in which the rocket nozzle is fixed, but a fluid is introduced into the exhaust flow from injectors mounted around the aft end of the rocket. If the liquid is injected only on one side, it will change the exhaust plume, resulting in different thrust on that side and an asymmetric net force.
4. Auxiliary "Vernier" thrusters: A Vernier thruster is a rocket engine used on a spacecraft to create fine adjustments to the attitude or velocity of a rocket. Thrust vectoring is be produced using multiple Vernier thrusters, small auxiliary combustion chambers which do not have their own turbopumps and can gimbal on one axis.
These were used on the Atlas and R-7 rockets and they are still in use on the Soyuz rocket, see Figure 5. The system is quite complex and because of the higher weight they are not used so often.
| Figure 5: The first and second-stage engines of a Soyuz, showing the four RD-107 modules with twin Vernier nozzles each, and the central RD-108 with four steerable Vernier thrusters. |
In case of Aircrafts:
Most modern aircraft can use turbofans with rotating nozzles or vanes to deflect the exhaust stream. This method can deflect thrust even to 90 degrees, relative to the aircraft centerline. The ability to change the angle of the thrust is called vectoring thrust, or vectored thrust.
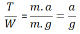
There are four forces that act on an aircraft in flight: lift L, weight W, thrust T, and drag D, see Figure 6. For example for aircraft to be in the cruise flight in constant velocity and altitude, all the forces have to be in the balance.
![]() |
| Figure 6: credit NASA |
![]() |
| Figure 7: A USMC AV-8B Harrier II hovering |
![]() |
| Figure 8: source: wiki: Test firing of the Merlin 1D at SpaceX’s McGregor test stand |







Comments
Post a Comment